Espectro Sísmico

Introducción e importancia
El diseño sismorresistente de estructuras industriales es un pilar fundamental en la ingeniería estructural, especialmente en regiones de alta actividad sísmica como Chile. Las estructuras industriales, como plantas de procesamiento, almacenes, refinerías o instalaciones mineras, son esenciales para la economía y la operatividad de sectores estratégicos. Un diseño sismorresistente adecuado garantiza la seguridad de las personas, la protección de equipos críticos y la continuidad operativa frente a eventos sísmicos, minimizando pérdidas económicas y riesgo humanos. La ingeniería estructural desempeña un rol clave al desarrollar soluciones que integran materiales, geométricas y sistemas constructivos capaces de resistir las fuerzas dinámicas generadas por los sismos, manteniendo la integridad y funcionalidad de las instalaciones.
En el caso de Chile, un país ubicada sobre el Cinturón de Fuego del Pacífico y con una larga historia de terremotos de gran magnitud, el diseño sismorresistente es una prioridad nacional. La ingeniería estructural en este contexto se ha desarrollado con un enfoque preventivo, basado en lecciones aprendidas de eventos sísmicos históricos y en la evolución de normativas técnicas que regulan la construcción.
La Norma Chilena NCh2369 de 2003 con el título de “Diseño sísmico de estructuras e instalaciones industriales”, e un hito en este ámbito, ya que establece criterios específicos para el diseño y construcción de estructuras industriales, considerando las particularidades de estas edificaciones y las demandas sísmicas del país.
Historia del diseño sismorresistente en Chile.
Chile ha enfrentado numerosos terremotos devastadores a lo largo de su historia, como el terremoto de mayor magnitud del mundo, que alcanzó unos 9.5 Mw, ocurrido en Valdivia en 1960 y el de Maule en 2010, con magnitud de 8.8 Mw. Estos eventos han moldeado la práctica de la ingeniería estructural en el país, destacando la necesidad de normativas robustas y diseños adoptados a las condiciones sísmicas locales. Ante de la implementación de normativas específicas, muchas estructuras industriales colapsaban o sufrían ciertos daños severos, lo que generaba interrupciones prolongadas en la producción y costos elevados.
La experiencia acumulada tras décadas de actividad sísmica llevó al desarrollo de la NCh2369 en 2003, que aborda el diseño sismorresistente de estructuras industriales de manera integral. Esta norma establece requisitos para el análisis estructural, la selección de materiales, los sistemas de cimentación y la protección de equipos industriales, considerando factores como la zona sísmica, el tipo de suelo y la importancia de la instalación. Esta norma también ha avanzado en la mirada del diseño por desempeño, que busca no sólo evitar el colapso, sino también garantizar la funcionalidad post – sismo en instalaciones críticas.
La norma ha sido un avance significativo, ya que adapta los principios generales de diseño sismorresistente a las particularidades de las estructuras industriales, como grandes luces, carga dinámicas de maquinaria y la necesidad de proteger procesos productivos.
En la actualidad se encuentra oficializada aún por el Ministerio de Obras Públicas (MOP), aunque versiones posteriores como la de 2023, lo ha dejado de carácter No Vigente ante el Instituto de Normalización (INN).
Marco normativo NCh2369 of 2003
El alcance y campo de aplicación de esta norma es establecer los requisitos para el diseño sísmico de estructuras e instalaciones industriales, ya sea livianas o pesadas. Aplicando a estructuras propiamente tales, como a los sistemas de ductos, cañerías y a equipos de proceso, , mecánicos, eléctricos y a sus anclajes. Además, es aplicable a estructuras de bodegas o recintos de vocación industrial – comercio.
Es norma no es aplicable para estructuras tales como centrales nucleares, centrales de energía eléctrica y líneas de transmisión, presas, tranques de relaves, puentes, túneles, muelles gravitacionales, muros de contención, líneas de ductos enterrados, etc.
Formas de especificar la acción sísmica.
La acción sísmica se podrá especificar en una de las siguientes formas:
- Mediante coeficiente sísmico horizontales y verticales, aplicables a los pesos de las diversas partes en que se ha considerado dividido el sistema para su análisis.
- Mediante espectros de respuesta de sistemas lineales de un grado de libertad para los movimientos de traslación horizontal y vertical del suelo de fundación.
- Dando valores descriptivos del movimiento del suelo, tales como los máximos de la aceleración, velocidad, del desplazamiento del suelo para las dirección horizontal y vertical u otros similares.
- Mediante acelerogramas reales o sintéticos debidamente formuladas para los movimientos horizontales y verticales del suelo de fundación.
Clasificación de estructuras y equipos según su importancia
Las estructuras y equipos se clasifican en categorías según su importancia:
- Categoría C1: corresponde a obras críticas como vitales (deben mantenerse en funcionamiento para controlar incendios o explosiones y daños ecológico, instalaciones de salud y primeros auxilios a los afectados), peligrosas (donde cuyo fallo involucrado riesgo de incendio, explosión o envenenamiento del aire o las aguas) y esenciales (cuya falla puede causar detenciones prolongadas y pérdidas serias de producción).
- Categoría C2: vienen siendo a obras normales, que podrían tener fallas menores susceptibles de reparación rápida que no causan detenciones prolongadas ni pérdidas importantes de producción y que no generen daños a obras de la categoría C1.
- Categoría C3: son obras y equipos menores, cuyas fallas sísmicas no ocasiona detenciones prolongadas, ni que pongan en peligro otras obras de C1 y C2.
Coeficiente de importancia
De acuerdo con las categorías descritas anteriormente, se define un coeficiente de importancia (I), cuyo valor están definidos a continuación:
- Categoría C1 con factor I = 1.2
- Categoría C2 con factor I = 1.0
- Categoría C3 con factor I = 0.8
Métodos de análisis
Generalmente compuesto por el método lineal y el método no lineal.
- Métodos lineales: compuesto por tres procedimiento, compuesto por el análisis estáticos o de fuerza equivalente (estructuras hasta 20 metros de altura), análisis modal espectral (cualquier tipo de estructuras) y métodos especiales (para estructuras con comportamiento elástico).
- Métodos no lineales: corresponde a uno de los métodos especiales de capítulo 5.8 de la norma.
Esfuerzo de corte basal horizontal
El esfuerzo de corte horizontal en la base se obtiene según la siguiente expresión:
Q = CIP
Donde:
Qo : esfuerzo de corte en la base
C : coeficiente sísmico
I : coeficiente de importancia
P : peso total del edificio sobre el nivel basal obteniendo la masa sísmica según capítulo 5.1.3
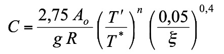
Coeficiente sísmico

Donde:
Ao : aceleración efectiva máxima
T’,n : parámetros relativos al tipo de suelo de fundación
T* : período fundamental de vibración en la dirección de análisis
R : factor de modificación de la respuesta según tabla 5.6 de la norma
x : razón de amortiguamiento según tabla 5.5 de la norma
Cabe destacar que el corte basal no necesita ser mayor que lo establecido a continuación.

Como nunca será menor que 0.25 Ao/g.
Espectro de diseño
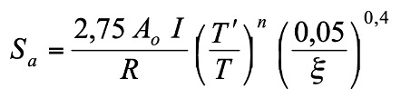
El análisis modal espectral es determinado de acuerdo con la siguiente expresión:

Donde:
T : período de vibración del modo considerado
No obstante, el valor de Sa no debe ser mayor que I· Cmax · g.
El análisis debe incluir suficientes modos de vibrar para que la suma de las masas equivalentes, para cada dirección de análisis, sea igual o superior al 90% de la masa total.
Esfuerzo de corte mínimo
En el caso que el corte basal Qo sea inferior que el valor siguiente, las deformaciones y esfuerzos se deben multiplicar por el cociente Qmin/Qo.

La acción sísmica vertical se puede considerar estática según capítulo 5.5.1.





Espectro zona sísmica 3, tipo de suelo II, categoría C2, factor R = 1, x = 0,05

Espectro zona sísmica 3, tipo de suelo II, categoría C2, factor R = 3, x = 0,05

Espectro zona sísmica 3, tipo de suelo III, categoría C2, factor R = 1, x = 0,05

Deja una respuesta